此次合并可以说是史诗级的,合并后的以太坊最重要的转变就是共识机制从 PoW转变为 PoS。在合并之后,ETHW 飙升至 60.68 美元...
以太坊,英文名Ethereum,是一个开源的有智能合约功能的公共区块链平台。刚入币圈的朋友还会发现有另一个区块链项目叫做Ethereum...
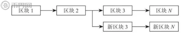
ETC 的全称是Ethereum Classic, 它是由Ethereum (ETH 的于2016 年7 月硬分叉而来的。目前ETC 以...
下面的观点是由Jonald Fyookball写的。 你应该已经听说过比特币现金——它是比特币和以太坊这些主流加密货币的一种。但是它为...
本次以太坊硬分叉升级并未出现新的代币,表明所有矿工和矿池已默认接受新的主网,也接受了EIP-1559提案,市场主流的声音纷纷表示看好以太...
最后简单回顾一下以太坊诞生至今的一些重要事件:2014年7月24日起,以太坊进行了为期42天的以太币预售。2014年11月...
以太坊现年26岁的联合创始人Vitalik Buterin在本周早些时候发布以太坊创始人发文了推文ETH 20对数据的扩展将先于一般计算...
根据国内专业的比特币交易网BtcTrade平台比特币行情显示,截止北京时间10月17日11:00,比特币价格为4342元,最高价4362...